1.上海交大集成电路学院周林杰、陆梁军团队在片上集成光子计算领域取得新进展;
2.磁电物性分析与器件重点实验室张帮敏副教授课题组在磁性拓扑结构调控的研究中取得最新进展;
3.北京大学先进制造与机器人学院孙铭阳课题组揭示新型电池技术可化解全球变暖带来的电动汽车寿命危机;
4.祝贺!哈工大深圳校区科研团队成果入选《物理评论快报》2025年度精选合集
1.上海交大集成电路学院周林杰、陆梁军团队在片上集成光子计算领域取得新进展
近日,上海交通大学集成电路学院(信息与电子工程学院)周林杰教授、陆梁军教授团队在片上集成光子计算领域取得新进展。团队提出一种基于时-波-空交织的集成光子3D张量处理引擎(3D-TPE),通过微环光开关阵列和可调延时线阵列芯片的协同调控,在光域内实现了数据缓存、通道时钟同步与张量计算,具备灵活时钟频率调控能力,在20 GHz主频下执行激光雷达3D点云图推理任务,达97.06%识别准确度。相关成果以“Integrated photonic 3D tensor processing engine” 为题发表于国际期刊《Light: Science & Applications》。

研究背景
随着人工智能技术的飞速发展,深度学习任务对现有计算体系的算力吞吐量、处理延迟和能效比提出了极高要求。然而,现有电子计算架构受限于“冯·诺依曼瓶颈”与“存储墙”效应,其功耗与算力难以进一步提升。光子计算凭借其高带宽、低延迟、高并发性以及丰富的物理调控自由度等优势,被广泛视为解决未来超大规模算力需求,实现高吞吐量和高能效计算新范式的强有力的候选者之一。然而,当前大多光子硬件加速器多聚焦于2D矩阵-向量乘法计算的优化,面对神经网络中作为基本数据结构的高维张量的计算处理时,现有的2D架构面临显著挑战。首先,高阶张量需根据光子硬件规模在电域进行频繁的结构重塑与中间计算结果的缓存,引入了额外的计算开销、存储开销与时间延迟。其次,多通道数据的时序同步高度依赖外部电子时钟,缺乏在光域内直接进行数据缓存和时序对齐的能力,随着光子阵列规模的扩大,电控同步系统的复杂度急遽增加,难以发挥出光子计算在超高主频下的算力潜力与实时处理能力。
研究内容
研究团队提出了一种基于时间-波长-空间交织的集成光子3D张量处理引擎(3D-TPE),如图1所示。该光子引擎通过深度协同光计算单元(OCU)与光缓存单元(OMU),在光域内实现了数据缓存、通道时钟同步与张量计算,并具备灵活的时钟频率适配能力。光计算单元(OCU)由双耦合微环交叉阵列芯片构成,光缓存单元(OMU)采用可调时间延迟线阵列实现。输入数据经调制器顺序加载到多波长光载波上并馈入多路光计算通道,实现输入信号在波长域和空间域的多样本复制;通过精准调控不同光计算路径中信号副本的延迟量,实现多通道信号的光域数据缓存与通道间时序对齐;通过光计算单元完成并发的加权乘法计算,并经光电探测器实现输出功率的线性累加。通过OCU与OMU芯片的协同调配,片上光子矩阵计算规模也从传统的2D矩阵-向量乘法计算拓展为3D矩阵-矩阵乘法计算。该3D-TPE通过将数据缓存、通道时钟同步任务从电域移至光域,进一步释放了光子计算系统中外部电子高速调控的需求,充分释放了光在高速、高并行度下的计算优势,其自适应的时钟频率调控能力也使其在其能够灵活应对时间密集型或时间稀疏型任务。

图1 集成光子3D张量处理引擎:(a) 传统2D MVM光子加速器与本文提出的3D-TPE对比;(b) 3D-TPE结构概念示意图
光计算单元(OCU)基于双耦合微环交叉阵列芯片,与传统方案单微环权重元素相比,双耦合微环权重元素具有更平坦的光谱响应与更大的光学带宽,能减小高码率下的信号失真,并提升对激光波长漂移的鲁棒性。图2展示了团队所制备的光计算芯片,权重元素的3 dB带宽达50 GHz,通道间串扰小于-25 dB,通过简单的查表法,即可实现任意权重组合下稳定超过7 bit的权重部署精度。

图2 基于3D双耦合微环光交叉阵列的光计算单元(OCU):(a)芯片光镜图;(b)权重单元;(c)光谱特性;(d) 权重调控;(e)权重电压映射曲线;(f-g)任意权重组合下的权重部署(f)实验与理论对比散点图以及(g)精度
光缓存单元(OMU)由一个8通道可调时间延迟线阵列芯片构成,如图3所示。单个可调时间延迟线由7个级联MZI光开关及连接延迟波导组成,延迟分辨率为4.93 ps(对应约200 GHz的自适应时钟频率),最大延迟时间达310.59 ps,延迟误差被严格控制在0.6 ps以内。通过调配不同光学路径的时间延迟量,团队进行了10 Gbaud到30 Gbaud码率下的系统计算能力评估,系统测试表明,在固定权重组合下的4通道并发计算精度为4.1至4.8 bits之间。

图3 用于时钟频率调控的光缓存单元(OMU): (a) 实验装置图;(b)光缓存单元芯片光镜图;(c-d)10G至30G码率下的理论计算与实验(c)波形对比与(d)等效计算精度
在概念验证实验中,团队使用该3D-TPE光子计算引擎执行了3D CNN中卷积层的卷积计算,如图4所示。在20 GHz的系统时钟频率下,执行了激光雷达3D点云图像识别推理任务,达到97.06% 的识别准确率,其结果与数字计算结果相当。

图 4 激光雷达3D点云图像推理任务:(a) CNN架构;(b-d) 数字计算与光计算实验结果对比(b)不同角度下的点云特征图对比,(c) 特征图波形对比以及(d)识别混淆矩阵对比
论文作者信息
上海交通大学集成电路学院(信息与电子工程学院)博士生吴月、博士毕业生倪子恒为共同第一作者。上海交通大学集成电路学院(信息与电子工程学院)陆梁军教授、周林杰教授为通讯作者。该工作得到了学院陈建平教授的悉心指导。学院博士毕业生李鑫、硕士毕业生王媛荀也为本工作做出了重要贡献。此外,该工作得到了上海交通大学光子传输与通信全国重点实验室、上海交通大学–平湖智能光电研究院、国家重点研发计划、国家自然科学基金的支持。

陆梁军,教授,主要研究方向为硅基光电子集成芯片及系统应用。主持重点研发计划项目、基金委面上等项目10余项。在Nat. Commun., Light Sci &Appl., PhotoniX, Optica等国内外一流期刊发表论文90余篇,持有中国发明专利30余项,美国专利5项。入选国家高层次青年人才、上海市启明星计划,曾获中国电子学会科技进步二等奖等。

周林杰,教授,国家级高层次人才,主要从事光电子器件与集成方面研究工作。主持各类国家级科研项目20余项,在Nature Photonics、Nature Communications、Physics Review Letters、Light Science & Applications、Advanced Photonics等期刊发表论文200余篇,Google Scholar统计引用超过8000次。入选爱思唯尔中国高被引学者榜单、英国皇家学会牛顿高级学者。曾获中国光学“十大进展”、中国产学研合作创新奖、华为优秀合作奖、中兴优秀项目奖等。(来源:上海交通大学)
2.磁电物性分析与器件重点实验室张帮敏副教授课题组在磁性拓扑结构调控的研究中取得最新进展
拓扑霍尔效应(THE)是表征斯格明子、手性畴壁等拓扑自旋纹理的常见探测手段,在高能效自旋电子学器件中具有巨大应用潜力。传统研究多采用固定电流方向的霍尔输运测量,忽视了材料本征各向异性对拓扑构型的调控作用,导致对实际器件中电流取向的影响认识不足。揭示电流方向如何与材料对称性耦合,成为拓扑输运研究亟待解决的科学问题。

图1 生长在 STO (100)/SRO (6 nm)/TmIG (6 nm) 双层中的拓扑霍尔效应。a. SRO 与 TmIG 的晶体结构示意图;b. 110 K 温度下测得的霍尔电阻率,以及拟合得到的反常霍尔效应(AHE)曲线;c. 不同温度下,双层的霍尔电阻率随外加磁场的变化关系;d. 单层 SRO 薄膜的霍尔电阻率测试结果。
近日,中山大学广东省磁电物理与器件重点实验室张帮敏副教授课题组的工作揭示了Tm3Fe5O12(TmIG)/ SrRuO3(SRO)异质结中各向异性的拓扑霍尔效应(THE),并将其归因于界面岛状微结构的各向异性及诱导的自旋霍尔磁电阻(SMR)通道调制,为实现拓扑自旋纹理的定向调控开辟了新路径。课题组通过脉冲激光沉积技术(PLD)在SrTiO₃(001)衬底上精准生长SRO(6 nm)/TmIG(2-10 nm)双层膜,通过综合物性测量系统揭示了该全氧化物体系中的拓扑霍尔效应(THE,图1)行为。进一步探讨了THE的各向异性。沿衬底 <100> 与 <110> 两种不同晶格取向完成了各向异性THE的输运测试:发现电流沿 <100> 晶向的 THE 电导率显著高于 <110> 晶向;不同温度下的 THE 测试结果绘制的相图进一步验证,在 105K 至 118K 的温度区间内,<100> 晶向的 THE 电导率始终高于 <110> 晶向。

图2 不同电流取向下的THE电导率及其作用机制。a. 电流沿 <100> 与 <110> 晶向时的拓扑霍尔效应电导率;b. <100 > 晶向对应的拓扑霍尔效应电导率等高线图;c. <110> 晶向对应的拓扑霍尔效应电导率等高线图;d、e. <100> 晶向与 <110> 晶向的结构示意图,界面处包含 TmIG 中的手性自旋织构;f. <100> 与 <110> 晶向的外延岛占比统计结果。
为探究观测到的 THE 各向异性,研究通过高分辨透射电子显微镜(HRTEM)与能谱分析(EDS)表征了异质结界面:SRO 层为外延生长,受 STO 衬底完全应变,且 <100> 与 < 110 > 晶向的应变水平一致,而 TmIG 层为无外延生长的多晶结构(见图3)。SRO与TmIG的界面存在岛状分布结构,EDS分析证实这些岛区为连续的层状结构,其生长序列为 SrRuO3/SrFeO3/TmFeO3/Tm3Fe5O12;而无岛区的SRO与多晶 TmIG 之间存在不连续的界面层,不具备拓扑信号传输的条件。只有界面的岛状区域能通过SMR效应检测到 TmIG 层的拓扑自旋结构信号,是 THE 信号的有效来源。统计结果显示,界面 <100> 晶向的岛状结构占比达 44.37%,远高于 <110> 晶向的 27.82%,这一占比差异与 <100> 方向更强的THE信号直接对应,阐明了THE电流取向各向异性的核心机制。本研究将THE的各向异性与界面微结构定量关联,突破了“各向同性假设”的理论局限,不仅为理解电输运中的拓扑磁结构提供了新视角,还为开发基于电流方向可控的低功耗拓扑器件(如3D赛道存储器)提供新的参考。

图3基于高分辨透射电子显微镜(HRTEM)的界面元素表征。a.透射电子显微镜(TEM)图像;b. 外延岛晶体结构的示意图;c、d. 外延岛的原子相图像,以及对应的透射电子显微镜EDS表征结果。
论文以“Angular-Dependent Topological Hall Effect in Tm3Fe5O12 on SrRuO3”为题发表于国际著名期刊《Advanced Functional Materials》(DOI: doi/abs/10.1002/adfm.202513700)。该工作由中山大学独立完成,物理学院、本实验室博士研究生黄湛为是论文第一作者,张帮敏副教授为论文的通讯作者。该研究工作得到了国家自然科学基金、广东省磁电物性分析与器件重点实验室、广东省磁电物性基础学科研究中心(物理学)的支持。
(来源:磁电物性分析与器件重点实验室)
3.北京大学先进制造与机器人学院孙铭阳课题组揭示新型电池技术可化解全球变暖带来的电动汽车寿命危机
近日,北京大学先进制造与机器人学院孙铭阳研究员团队在气候科学顶级期刊《自然·气候变化》(Nature Climate Change)上发表题为《电动汽车电池技术进步抵消气候变化引发的耐久性挑战》(“Technological improvements in EV batteries offset climate-induced durability challenges”)的研究长文(Article)。

论文截图
2026年3月6日,《自然》(Nature)杂志将该成果遴选为Research Highlight,并以“Electric-vehicle batteries toughen up to beat the heat”为题进行了亮点评述和推荐。此外,本研究还被全球多国媒体报道超过21次,其中包括欧洲新闻台(Euronews)、世界最大的西语新闻平台之一Infobae等。

《自然》截图
电动汽车(EV)是交通运输领域脱碳的核心路径,但其电池性能与使用寿命对温度极端变化高度敏感。气候变化正在持续改变全球各地的热环境:极端高温加速电池老化,而极端低温也可能产生负面效应。这两种效应的净结果,很可能是缩短电池寿命、推高使用成本、抑制电动车普及,并增加全生命周期碳排放。
然而,这种能源技术与气候的关系并非一成不变:电池技术的持续进步,包括更低的温度敏感性、更高的循环耐久性,本身就构成一种重要的气候适应策略。此前,鲜有研究系统量化技术演进如何动态调节气候变化对电池耐久性的影响。本研究正是为填补这一空白而展开。
针对这一痛点,研究团队提出了一种深度融合车辆运行与电池物理机理的多模型耦合框架,突破了传统模拟的精度限制,实现了对电动汽车系统气候韧性与技术适应力的高保真度量化分析。具体而言,本研究构建了一套自下而上的综合模拟框架,将电动车行驶模型、电池热管理模型与电池退化模型相耦合,并结合经统计降尺度与偏差校正处理的CMIP6全球气候模式数据,对全球300座主要城市的电动汽车电池寿命展开系统评估。

本文构建的物理-数据耦合驱动电动汽车电池气候韧性评估框架
本研究通过分析对比“旧电池技术”(2010—2018年量产)与“新电池技术”(2019—2023年量产)的退化模型,该研究首次揭示了技术进步对电池耐久性的实际影响。其核心发现如下:
1、气候变化将显著缩短旧电池寿命,新电池技术有效抵消这一影响
在全球升温2°C情景下,旧电池的平均寿命将下降约8%,最大降幅达30%;而采用新电池技术后,平均寿命降幅仅为3%,最大降幅收窄至10%。即便在升温4°C的极端情景下,新电池的寿命仍可超过旧电池在历史气候下的基准寿命。电池单体温度升高是导致寿命缩减的主要驱动因素。

气候变化和技术进步对电池寿命的影响。左图展示了电池的绝对寿命在300个世界城市的分布,红色与蓝色柱状图分别代表旧电池和新电池;右图展示了不同变暖幅度下,电池寿命在不同城市的相对变化分布
2、新电池技术缓解了气候影响的区域不平等
研究发现,在旧电池技术条件下,气候变暖对电池寿命的冲击在低人均GDP国家和地区更为严峻,呈现出明显的经济不平等特征。新电池技术凭借更强的气候韧性,有效抑制了这一不平等趋势,使气候影响的区域分布更趋均衡。例如对旧电池技术而言,历史气候态下在不同城市的电池寿命为大约15年,但是在2°C变暖情景下,在靠近赤道的炎热地区寿命可能会下降到8年。相反,对于新电池技术,即便在2°C变暖情景下,寿命依然稳定的分布在17年左右,并且地图显示在靠近赤道的炎热地区寿命也同样稳定。

气候变化在历史期和2°C变暖情况下的寿命分布。左图展示了不同电池技术的绝对寿命在300个世界城市的分布。右图的b、c子图分别展示了旧电池和新电池的寿命在不同城市的分布

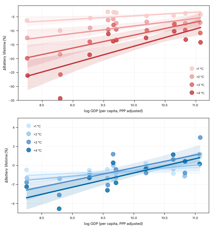
电池寿命变化的区域公平性分析显示了不同变暖情景(+1°C至+4°C)下GDP(人均,经购买力平价调整)与电池寿命缩短之间的关系 °C,如旧(上图,红色)和新(下图,蓝色)电池的图表所示。与高GDP国家相比,较陡的斜率表明低GDP国家随着变暖的寿命缩短幅度更大
3、电池技术进步具有显著的气候适应“协同效益”
本研究揭示,面向脱碳目标驱动的电池技术研发,在提升能量密度与降低成本之外,还内生地产生了显著的气候适应协同效益(Co-benefits)。具体而言,近年来电池在热管理系统优化、正负极材料热稳定性提升以及电解液配方改良等方面的技术迭代,无意中增强了电池抵抗极端高温老化的能力,打破了之前气候变暖必然导致能源基础设施或能源技术脆弱性加剧或加速衰退的传统认知。研究同时指出,固态电池、硅负极电池等新兴技术目前仍处于商业化前期,其在未来复杂升温情景下的实际耐久性仍有待进一步的大规模验证。因此,未来的技术研发应将更高的极端运行温度与更长的生命周期波动纳入核心考量,实现从“被动承受”向“主动适应”的转变。
本研究最后强调,气候变化对电动汽车电池寿命的影响因技术代际和地理区位而存在显著差异——旧电池在升温2°C下平均寿命缩短8%、最大缩短30%,而低GDP地区所受冲击尤为集中。为确保电动汽车在气候变化背景下持续发挥交通脱碳的核心作用,我们提出以下建议:
1、将气候情景纳入电池测试与认证标准
当前电池耐久性测试标准主要基于历史气候条件,尚未系统覆盖未来升温情景。建议IEC等国际标准化组织将前瞻性气候预测纳入电池可靠性测试体系,尤其应针对新兴技术(如固态电池、硅负极电池)在高温工况下的长期退化行为制定专项测试规范,以确保商业化产品在未来气候环境中的实际耐久性达标。
2、以气候适应为导向推进电池技术研发
研究表明,新一代电池(2019—2023年)在升温4°C情景下的寿命仍可优于旧电池在历史气候下的基准水平,这一代际进步具有显著的气候适应协同效益。建议未来研发在提升能量密度与降低成本的同时,将更高运行温度(对应升温2°C至4°C场景)和更长工况周期纳入设计目标,重点攻关电池组件、电极材料、电解液配方及热管理系统的耐热性能,以保障电池在更极端气候条件下的耐久性。
3、实施兼顾公平的气候适应政策
研究发现,在旧电池技术条件下,气候变暖对低GDP地区的电池寿命冲击显著大于高GDP地区,区域不平等特征突出。尽管新电池技术有效缩小了这一差距,但技术获取能力的差异可能使低收入地区在电动汽车气候适应方面长期处于不利地位。国际气候与能源治理框架应通过加强技术转移、气候融资及能力建设,重点支持发展中国家获取和应用最新电池技术,避免气候变化进一步加剧全球能源转型中的区域不平等。
本文由孙铭阳课题组、浙江大学网络传感与控制(NeSC)课题组、美国密西根大学安娜堡分校Michael T. Craig助理教授课题组联合发表。第一作者为课题组博士生吴浩驰(现为美国斯坦福大学博士后)。孙铭阳与Michael T. Craig为通讯作者。主要合作者包括美国密西根大学陈嘉珲博士和Parth Vaishnav教授。本研究得到了国家自然科学基金、国家科技重大专项等项目资助。(来源:北京大学)
4.祝贺!哈工大深圳校区科研团队成果入选《物理评论快报》2025年度精选合集
近日,哈工大深圳校区集成电路学院宋清海教授、周宇教授团队与其合作者完成的成果“Strain-Enhanced Spin Readout Contrast in Silicon Carbide Membranes” [Phys. Rev. Lett. 135, 110601 (2025)]入选《物理评论快报》2025年度精选合集(Collection of the Year),成为量子信息科学与技术领域全球7篇入选论文之一。
碳化硅作为宽禁带半导体材料,在量子传感、量子通信和量子计算等领域具有广阔应用前景,但室温下自旋态的高保真读出一直是该领域的核心挑战。研究团队系统揭示了应变对自旋能级间穿越速率的调控机制,证明了应变工程可作为一种普适性策略,将碳化硅量子比特的室温自旋读出对比度提升至60%以上。为开发室温下工作的高性能量子器件奠定了重要基础。
《物理评论快报》作为物理学领域的权威期刊,每年发表约2500篇快报论文,其中仅有约400篇被选为编辑推荐论文。为进一步突出具有重大科学价值的突破性成果,期刊编辑部从这些论文中精选约60篇,编纂成年度精选合集。2025年度合集中,“量子信息科学与技术”领域全球仅有7篇论文入选,其中5篇来自中国科研机构。
该研究得到了国家自然科学基金、广东省重点领域研发计划、深圳市科技计划等项目的支持。(来源:哈尔滨工业大学深圳校区)
