【导读】开源微调神器Unsloth带着黑科技又来了:短短两周后,再次优化DeepSeek-R1同款GRPO训练算法,上下文变长10倍,而显存只需原来的1/10!
开源微调神器Unsloth带着黑科技又来了:上次更新把GRPO需要的内存见到了7GB,这次只需要5GB的VRAM,就能训练自己的推理模型Qwen2.5(1.5B),比上次要少2GB。
这次彻底把推理模型训练显存打下来了!
这次把GRPO训练推理模型的上下文变长10倍,同时需要的显存少了90%。
使用最新的Unsloth,只要5GB显存就能训练自己的推理模型,而且Qwen2.5-1.5B不会损失准确率。

5GB显存什么概念呢?
16年开始发售的GPU比如GTX 1060的显存都有8GB。 16年GTX 1060放到现在,堪称电子古董!
目前,实现更长的上下文是GRPO面临的最大挑战之一。
与其他GRPO LoRA/QLoRA实现相比,即使是基于Flash Attention 2(FA2)的实现,Unsloth新推出的高效GRPO算法上下文长度增加了10倍,同时使用的VRAM只要10%。
在配备TRL+FA2的GRPO设置中,Llama 3.1(8B)在20K上下文长度下,训练需要510.8GB的VRAM。
而Unsloth将VRAM减少了90%,降至仅54.3GB。
和使用Flash Attention 2的标准实现相比,Unsloth使用多种技巧,巧妙地把GRPO的VRAM使用量减少了90%多!
在20K的上下文长度下,每个提示生成8次,Unsloth在Llama-3.1-8B模型上仅使用54.3GB的VRAM,而标准实现需要510.8GB(Unsloth减少了90%)。这一切得益于下列3项突破:
全新设计的内存高效线性算法:将GRPO的内存使用量削减了8倍以上,节省了68.5GB的内存。借助torch.compile,在num_generations=8和20K上下文长度下,实际上还更快。
利用了Unsloth已发布的智能梯度checkpoint算法:将中间激活值异步卸载到系统RAM中,速度仅慢了1%。由于需要num_generations=8,这节省了高达372GB的VRAM。通过中间梯度累积,甚至可以进一步减少内存使用。
与底层推理引擎(vLLM)共享相同的GPU/CUDA内存空间,不像其他包中的实现那样。这又节省了16GB的VRAM。

Unsloth和基于Flash Attention 2(FA2)的标准实现内存比较
在典型的GRPO标准实现中,需要创建两个大小为(8,20K)的logits来计算GRPO损失。这需要2*2字节*8(生成次数)*20K(上下文长度)*128256(词汇表大小)=78.3GB的VRAM。
Unsloth将长上下文GRPO的内存使用量削减了8倍,因此对于20K的上下文长度,只需要额外的9.8GBVRAM!
还需要以16位格式存储KV缓存。Llama3.18B有32层,K和V的大小均为1024。因此,对于20K的上下文长度,内存使用量=2*2字节*32层*20K上下文长度*1024=每个批次2.5GB。
可以将vLLM的批次大小设置为8,但为了节省VRAM,在计算中将其保持为1。否则,需要20GB来存储KV缓存。
分组相对策略优化(Group Relative Policy Optimization,GRPO),出自DeepSeek去年发表的论文。
如果一生只能读一篇DeepSeek的论文,网友建议选择首次提出GRPO的DeepSeekMath论文。

论文链接:https://arxiv.org/abs/2402.03300
随后在DeepSeek的论文中,利用GRPO算法创建了DeepSeek-R1。
在这里利用了Hugging Face的TRL GRPO实现。
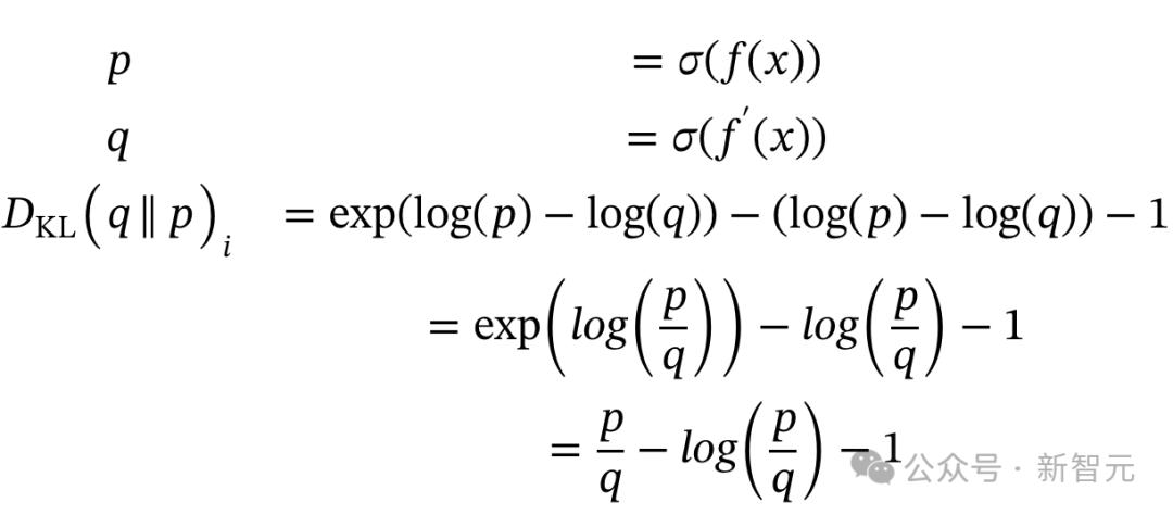
注意到,TRL实现的公式如下:

其中使用的是反向KL散度(而不是正向KL散度)。β是一个设为0.04的缩放因子,A是考虑所有奖励函数后得到的优势值。q是新训练的模型,P是原始参考模型。
然后注意到,该实现将反向KL散度计算为:

但这真的是正确的吗?
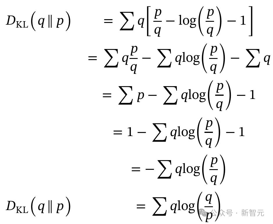
首先尝试推导并整理类似项:

这意味着什么?实现中可能缺少一个与q(新分布项)的乘法吗?
但这似乎是正确的,和DeepSeek-Math论文第14页首次引入GRPO时一样。

DeepSeek-Math论文第14页:在损失函数中添加KL散度,正则化GRPO算法
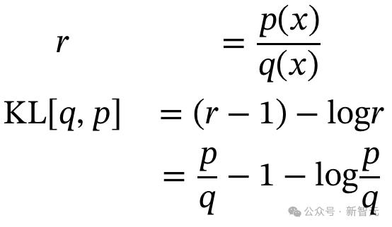
同样,John Schulman的博客也提到,反向KL项的无偏估计,实际上并不需要额外的q项。

链接地址:http://joschu.net/blog/kl-approx.html
在博客中看到:

还发现了一个有趣的现象:
这应该等于1,对吗?

Hugging Face的TRL GRPO实现
实际上,发现这是必要的——似乎自动梯度autograd引擎可能无法正确传播梯度。
因此,进行了4个实验:

总体来说,移除detach显然会破坏训练,所以必须保留它——这很可能需要进一步调查。其他实现似乎也类似?可能需要运行模型更长时间,以观察不同的效果。
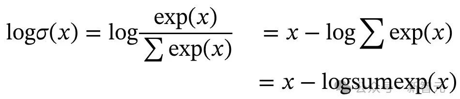
在所有实现中,还利用了logsumexp技巧:


Hugging Face的TRL GRPO实现
Horace He,在Meta从事PyTorch相关工作
实际上,unsloth发现了一些令人惊讶的要点:
1 GRPO参考实现使用的是反向KL散度,而不是正向KL散度。
2 如果不正确处理,在float16混合精度(以及float8)上直接实现线性交叉熵,并使用自动混合精度缩放机制,会导致崩溃。
3 发现了GRPO损失实现中的其他一些奇怪之处,主要是在反向KL散度的公式表述方面。

线性交叉商链接:https://gist.github.com/Chillee/22cd93e11b887db1f596ab754d60a899
之前,unsloth只显示总聚合奖励函数本身,新版本为所有奖励函数提供完整的日志记录详情!

也不再需要调用函数来给GRPO打补丁了!也就是说,新版本会自动处理,可以删除下列代码:
现在在vLLM中还能使用FP8 KV缓存,这可以在较新的GPU(RTX 3090、A100及更新型号)上将KV缓存空间使用量减少2倍。

如果想在vLLM中使用min_p=0.1或其他采样参数,也支持传递vLLM的SamplingParams参数中的任何内容!

参考资料:
https://unsloth.ai/blog/grpo
