天眼查显示,广东利扬芯片测试股份有限公司近日取得一项名为“一种用于芯片老化测试的数据采集装置”的专利,授权公告号为CN222259505U,授权公告日为2024年12月27日,申请日为2024年3月5日。

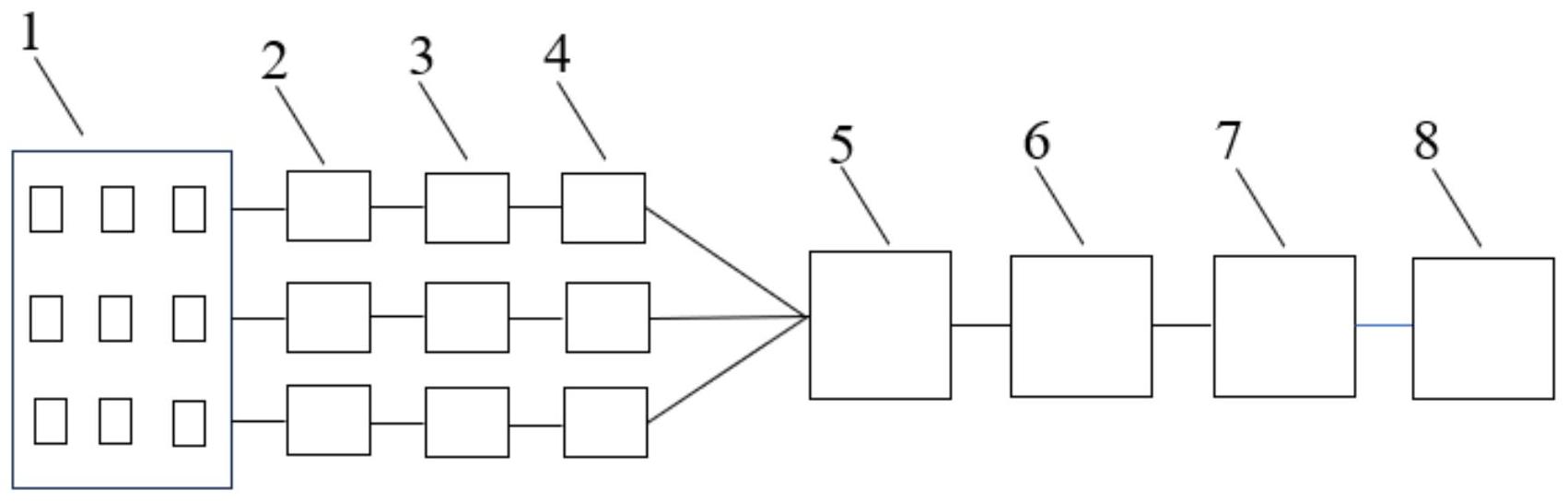
本公开揭示了一种用于芯片老化测试的数据采集装置,包括第一数据采集单元、第二数据采集单元和第三数据采集单元,其中,所述第一数据采集单元的输入端与芯片老化测试板的输出端电连接,所述第一数据采集单元的输出端与第二数据采集单元的输入端电连接;所述第二数据采集单元的输出端与第三数据采集单元的输入端电连接;所述采集装置还包括数据存储单元,所述数据存储单元的输入端与所述第三数据采集单元的输出端电连接。本公开通过具体多级电路能够准确获得老化测试后的芯片的输出电压信号,从而能够准确检测出老化测试后的芯片是否存在异常。
