1.2025 IC风云榜“年度知识产权创新奖”申报开启;
2.清华大学数学中心量子对称团队合作提出经典模拟变分量子算法的多项式新途径;
3.西电大自研慧通大模型正式发布;
1.2025 IC风云榜“年度知识产权创新奖”申报开启;

“2025半导体投资年会暨IC风云榜颁奖典礼”已正式开启申报工作。这场备受期待的行业盛事由半导体投资联盟主办、爱集微承办,将于12月在北京盛大开启。本届年会旨在构建一个汇聚全球半导体领域学者、政策专家、投资先锋、合作伙伴及行业领袖的沟通桥梁。会上,我们将以全球视角审视宏观局势,集中探讨投资策略,并深刻洞察半导体产业的演变趋势及未来潜在机遇。携全新姿态,我们再度启航,共同迈向产业探索的新阶段。
奖项申报入口
IC风云榜聚焦新时代环境下中国集成电路(IC)产业最具经营智慧的风云企业,根据市场、学研、资方、品牌等多维度可靠数据,严格遴选出行业年度优秀人物、机构、企业与品牌,树立行业标杆,展现行业格局。目前,IC风云榜已成功举办五届,诸多优秀企业、机构和园区在评选中脱颖而出,展示我国半导体产业的最新进展与独特优势。IC风云榜持续举办,致力激发产业创新潜能,厚植产业创新沃土!
为了覆盖半导体行业内更全面、更专业的优质企业及机构,2025 IC风云榜在原有基础上新增12项,共计设立39项大奖,包括新增年度最佳行业投资机构奖(新质生产力)、年度最活跃投资机构奖、年度最佳退出投资机构奖、年度最佳服务地方机构奖、年度最佳并购基金奖等,关注半导体业的投资与退出;新增年度最佳人工智能园区奖、年度领军企业奖、年度最佳解决方案奖、年度RISC-V技术创新奖,聚焦企业在科技前沿领域的突出贡献;新增年度优秀科技成果转化奖、年度国际市场先锋奖以及年度全球供应链突破奖等,着眼项目创新及国内技术的“出海”与拓展。本届IC风云榜的全部奖项列表请查看官网。
2025半导体投资年会暨IC风云榜颁奖典礼官网
其中,“知识产权类奖项”重磅设置——年度知识产权创新奖,旨在表彰2024年度半导体领域知识产权成果突出、综合实力强劲,或者自我突破、进步明显,或者在某一方面表现亮眼的优秀创新主体。

奖项申报表下载入口
申报流程
2024年8月27日(星期二):启动报名
2024年9月24日(星期二):开启报名公司的采访、撰稿与宣传
2024年11月9日(星期六):报名截止,公布候选名单
2024年11月14日-11月15日(星期四-星期五):评委会投票
2024年12月:奖项将在“半导体投资年会”现场颁奖
报名方式
请将填写好的申报表发送至以下邮箱:ijiwei_ip@ijiwei.com
年度知识产权创新奖
旨在表彰2024年度半导体领域知识产权成果突出、综合实力强劲,或者自我突破、进步明显,或者在某一方面表现亮眼的优秀创新主体。
报名条件
1、创新主体知识产权满足以下任一条件:
a)≥100件有效专利且≥50件有效发明专利;
b)≥20个有效注册商标且≥1个有效海外注册商标;
c)2024年度新增专利量≥50件且年度增长率≥30%;
d)2024年度经历重大知识产权诉讼且获得阶段性成功或首次实现对外许可。
2、创新主体重视技术的自主研发,且在前沿技术方面研发投入占比≥5%。
3、创新主体专利技术产品获得一定的市场认可和经济效益。
评选标准
1、创新主体知识产权创新成果40%
2、创新主体知识产权年度增长20%
3、创新主体知识产权海外影响20%
4、创新主体知识产权重大突破10%
5、创新主体获得荣誉/资质/嘉奖10%
2.清华大学数学中心量子对称团队合作提出经典模拟变分量子算法的多项式新途径;
清华新闻网9月24日电 近日,清华大学丘成桐数学科学中心教授刘正伟,博士生邵钰菓、魏付川,北京雁栖湖应用数学研究院助理研究员程嵩提出了一种计算含噪声量子线路期望值的高效方法——泡利基上的算符反向传播(Observable's Back-propagation on Pauli Paths,OBPPP),这一变分量子算法在精度和速度上均优于量子硬件,并可应用于更广泛类别的量子电路中。
目前,量子计算正处于所谓的“含噪声中等规模量子硬件时代(NISQ Era)”。变分量子算法凭借其对量子硬件更低的要求,有望率先实现可应用且有意义的量子算法,因而在组合优化、量子化学、材料计算乃至机器学习等领域都备受关注。但变分量子算法的研究仍面临着诸多难题,如线路噪声带来的退相干、表达能力的局限、可训练性的丧失等。事实上,找到相对经典且真正具备量子优势的变分量子算法,依旧是一个科学界反复讨论又难以解决的开放问题。一个同样重要的反问题是:什么类型的变分量子算法是容易被经典模拟的?
数学中心量子对称团队从理论上证明了一大类常见的变分量子算法,其架构均不具有量子优势。基于这一理论,团队创造性地构建了一个切实可算的多项式复杂度的经典算法——OBPPP,并与上述变分量子算法进行对比,获得了喜人的结果。

左:无噪声量子线路示意图 右:含噪声量子线路示意图
该工作考察了由Clifford门与任意比特单参数Pauli旋转门共同组成的量子线路(上图分别对应白色和粉色方块表示),囊括了当前大部分变分量子算法的线路架构。同时考虑线路中存在独立的单比特Pauli型噪声通道,这一噪声模型包括了实验中最常见的去极化噪声(depolarizing)和退相位噪声(dephasing)等。研究团队认为,同样的方法也可以很容易地推广至更普遍的单比特噪声,比如保单位噪声(unital noise)。
对于上述常见的变分量子线路架构,研究人员发现在Pauli基上将整个线路进行傅里叶展开,观测算符在线路上的期望值,表达为在Pauli基上的路径积分,可以大幅度提高现有经典算法对于变分量子算法的模拟速度。这一方法有两个显著的好处,其一,由Clifford门与任意比特单参数Pauli旋转门组成的量子线路在此展开下性质良好,展开的项数往往少于传统算法(例如张量网络方法中的求和项,状态矢量state vector方法中的计算基项);其二,在Pauli型噪声参与的情况下,大量路径的贡献受到压制且压制系数具有清楚的表达式:

这保证了有限数值精度的前提下,能够做到算法复杂度仅随量子线路深度与量子比特数多项式增长。
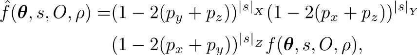
研究人员在理论上证明了这类含噪声量子线路算符期望的经典可模拟性。他们发现全体Pauli型噪声可以分为两种情形,保持一个固定的截断误差,各自证明了两种情形下经典模拟的时间复杂度为:
情形一:

情形二:

其中n为比特数,L为深度,Epsilon为数值误差,Gamma为噪声率。事实上,在常数非零噪声率下,OBPPP的时间和空间复杂度与量子比特数n和电路深度L均呈多项式关系。在一般的线路中通常为指数关系。

模拟结果与IBM Eagle量子处理器的实验结果高度吻合
研究人员成功地对IBM的Eagle量子处理器的算法进行了经典模拟,运行时间比量子硬件更短,同时实现了更准确的期望值。以模拟IBM算法实验为例,量子比特数为127,线路深度为80,OBPPP得到每张图的计算时间均小于5分钟(基于2张Xeon6330 CPU的结果)。此外,对不同的噪声率,根据路径压制因子,从而很容易地推出对应算符期望值,与未修正的原始实验数据直接对比,表现出与实验结果很强的一致性。
研究针对含单比特Pauli型噪声的变分量子线路,考虑线路由Clifford门与任意比特单参数Pauli旋转门组成。研究人员发现,OBPPP能够实现此线路下算符期望值的高效近似,并保证有界的截断误差。研究团队在理论上证明了存在常数非零噪声率时,OBPPP的时间和空间复杂度与量子比特数n和电路深度L均呈多项式关系。数值上,通过对IBM 127量子比特Eagle处理器的经典模拟,验证了该方法在精度和运行速度上均优于量子硬件,能够准确模拟还原噪声影响下的实验结果。此外,该工作还细致地揭示了噪声与经典可模拟性的关系,展示了该方法在更广泛类别的量子电路中的适用性。
9月18日,相关研究成果以“模拟含噪声变分量子算法:一种多项式途径”(Simulating Noisy Variational Quantum Algorithms: A Polynomial Approach)为题,发表于《物理评论快报》(Physical Review Letters)。
清华大学丘成桐数学科学中心与北京雁栖湖应用数学研究院共同完成这项工作。论文第一作者为数学中心2020级博士生邵钰菓。刘正伟、程嵩为论文通讯作者。数学中心2021级博士生魏付川参与合作。
3.西电大自研慧通大模型正式发布;
9月21日上午,在教育部高等学校教学信息化与教学方法创新指导委员会、教育部高等学校电子信息类专业教学指导委员会指导下,由西安电子科技大学主办、中国电子教育学会承办的第三届智能教育大会在西安曲江国际会议中心拉开帷幕。期间,与会嘉宾共同见证了西安电子科技大学自研的“慧通大模型”正式发布。
西安电子科技大学信息化推进办公室主任苗启广教授介绍了学校计算机科学与技术学院大数据与视觉智能研究所自主研发的电子信息类学科大模型——慧通大模型。该模型是西安电子科技大学落实教育部“人工智能大模型应用示范行动(LEAD)”,坚持集成化、智能化、国际化的“3I”理念,依托西电教育数字化优势,自主研发的高等教育大模型。苗启广阐述了生成式人工智能技术在高等教育应用的国家政策背景,介绍了慧通大模型数据、硬件、算法的前期准备,并对大模型具体功能和应用进行介绍,展望了慧通大模型的未来规划。模型覆盖了高校教、学、管、评等业务范围,为高等学校人才培养提供智能化便利。

在全场嘉宾的见证下,西安电子科技大学校长张新亮教授,教育部高等学校教学信息化与教学方法创新指导委员会主任、武汉理工大学校长杨宗凯教授,教育部高等教育司课程教材与实验室处刘永强处长,陕西省教育厅教育信息化处李享阳处长,西安电子科技大学副校长王泉教授,全国高等学校教学研究中心办公室张龙主任,陕西省计算机学会理事长周兴社教授,西安电子科技大学信息化推进办公室主任苗启广教授共同上台点亮“慧通大模型”。
据悉,“慧通大模型”取得了4大应用实效,即定位准确的学科答疑、智能评价提升教学管理、学情分析促进因材施教、智能客服只跑一次。试运行以来,师生使用近20万人次,共服务超过90万轮次对话问答,包含283门电子信息类学科课程、12个部门行政办事指南、487份学校规章制度,广泛服务于教师上课、学生答疑、教学评价和管理咨询等方面。
下一步,西安电子科技大学将面向学校教育教学、教育管理和教育服务,持续优化“慧通大模型”,打造“大模型+教育”新生态,为学校高质量发展提供新动力。
