1.清华大学:材料学院宋成、潘峰团队实现手性反铁磁序的零场完全翻转
2.中山大学:本实验室阴帅团队与中科院物理所李自翔团队在量子临界动力学研究中取得新进展
3.北大:石墨烯埃米孔化身“气体二极管”,北京大学王路达与宋柏合作团队在限域输运领域实现突破
4.北京大学物理学院廖志敏团队与合作者发现约瑟夫森二极管中量子整流效应
1.清华大学:材料学院宋成、潘峰团队实现手性反铁磁序的零场完全翻转
近日,清华大学材料学院/先进材料教育部重点实验室的宋成、潘峰团队在自旋电子学材料与器件方向取得重要研究进展,实现了手性反铁磁序的高效全电学完全翻转。
长期以来,磁存储技术的发展面临两难困境:铁磁电学读写便捷,却因杂散场制约了存储密度的提升,且吉赫兹动力学频率为电学写入速度设定了上限;反铁磁材料虽无杂散场且具备太赫兹动力学优势,但电学读写困难。手性反铁磁材料因其非共线自旋,同时拥有太赫兹磁动力学、零杂散场和自旋劈裂能带等特性,被视为突破这一瓶颈的理想体系。然而,如何在零磁场下实现对其磁序的高效电学操控,始终是推动其走向应用的关键挑战。
针对这一挑战,研究团队通过同质结设计整合了手性反铁磁的“非共线自旋指纹”的两个核心维度,利用非常规自旋流诱发手性反铁磁序的非常规磁动力学,实现了全电学完全翻转。该方案在具备可控的零场翻转极性的同时,效率也实现了大幅度跃升。在此基础上,研究从磁八极子视角切入,破解了手性反铁磁电学翻转的“效率密码”:通过对驱动力和能垒的系统性理论分析,指出自旋极化与磁易面的倾斜几何构型能够突破长久以来的“超低的能垒和超高效的驱动力无法共存”的限制,是实现高效全电学翻转的关键。该机制对其他易面非常规磁体也具有推广意义。该研究打通了手性反铁磁从基础研究走向器件应用的关键环节,不仅为开发兼具超高密度、超快读写和低功耗特性的新一代磁存储奠定了技术基础,也为基于手性自旋振荡和自旋力矩二极管效应的太赫兹纳米振荡器与整流器研发提供了重要科学支撑。
团队通过满足单晶和多晶Mn3Sn所需的不同生长条件,利用分子束外延生长技术构筑了手性反铁磁Mn3Sn同质结(图1a),利用Mn3Sn(0001)产生面外自旋极化(σz),翻转在多晶Mn3Sn层的手性反铁磁序。通过面内大磁场进行预磁化(图1a),操控Mn3Sn(0001)层的磁序取向,进而控制磁自旋霍尔效应,实现零场翻转的开关和极性的反转(图1b)。对比铁磁翻转极易受外磁场的干扰,手性反铁磁的全电学翻转呈现出优越的抗磁场干扰特性(图1c)。

图1.受面内手性反铁磁序所调控的全电学翻转
手性反铁磁是磁八极子的载体,这一磁序概念超越了常规的自旋和磁偶极子概念。亚晶格自旋和磁八极子,为理解手性反铁磁的动力学现象提供了两个截然不同的视角。研究团队从磁八极子视角出发,对自旋力矩特征(贡献翻转所需的驱动力)和磁各向异性特征(影响翻转所需克服的能垒)做了系统的理论分析,揭示了两方面关键机制:(1)磁易面约束下,手性反铁磁和铁磁对于面外自旋的响应有本质区别(图2a和b),垂直于磁易面的分量会产生交换耦合力矩(图2c),是高力矩效率的主要来源;而平行于磁易面的分量产生的驱动力(图2d)用以决定零场翻转的极性。手性反铁磁同质结中,面外自旋极化与Kagomé磁易面成倾斜的几何构型,既实现了全电学翻转,又保留了较高的力矩效率;(2)易面所贡献的能垒极低(图2e和f),利于高效翻转,然而却会使手性反铁磁的翻转不完全。而若为了实现100%翻转而引入二重磁各向异性,却会使能垒成数量级地提升,极大限制翻转效率。在传统的构型中,驱动力优势和能垒优势始终无法共存,而倾斜的几何构型(图2a)则成功突破了这一限制,形成了极高的电学翻转效率。

图2.极高的电学翻转效率的物理根源
研究团队采用临界电流密度Jc、功耗Pc,以及反常霍尔矫顽力与临界电流密度的比值μ0Hc/Jc三项指标来综合评估翻转效率(表格1),新构型下,三项指标均比此前有了大幅优化,与铁磁相比,μ0Hc/Jc更是实现了两个数量级的提升。

表1.Mn3Sn的翻转策略的对比
研究成果以“手性反铁磁序的零场完全翻转”(Field-free full switching of chiral antiferromagnetic order)为题,于2月25日在线发表于《自然》(Nature)。
清华大学材料学院2020级博士生周致远为论文第一作者,材料学院教授宋成为论文通讯作者。研究得到国家重点研发计划、国家自然基金委专项项目、北京市自然科学基金、清华大学“笃实计划”和新基石“科学探索奖”等项目的支持。(清华大学)
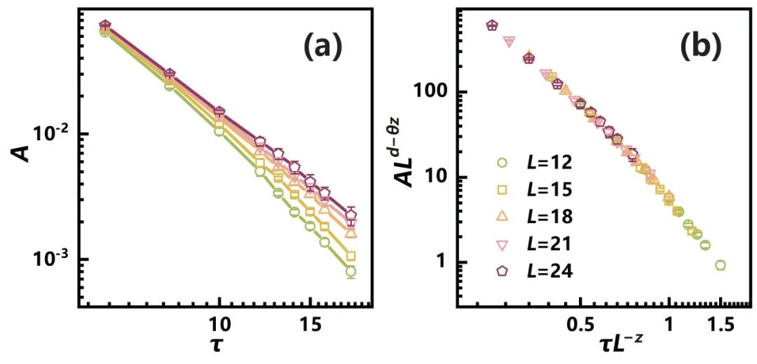
2.中山大学:本实验室阴帅团队与中科院物理所李自翔团队在量子临界动力学研究中取得新进展
中山大学物理学院、本实验室阴帅教授团队与中国科学院物理研究所李自翔特聘研究员团队合作,近期在量子临界动力学研究中取得新进展。他们在这一工作中首次研究了狄拉克费米子系统的非平衡虚时弛豫量子临界动力学(如图1所示),将虚时非平衡普适标度理论成功推广至同时包含费米子型与玻色型临界涨落的系统,并发现了负的临界滑移指数。
量子相变是现代统计物理和凝聚态物理的核心课题之一。近年来,由相互作用驱动的狄拉克体系量子临界性(如石墨烯、拓扑材料中的相关现象)因其独特的物理机制受到了学界的广泛关注。
量子临界点的普适临界现象不仅出现在平衡态中,其附近的非平衡演化同样蕴含着丰富的标度行为。在各种非平衡实现中,虚时演化动力学格外引起关注。虚时演化不仅是数值模拟中常规的寻找基态的方法之一,也在利用新型量子器件探索物态性质中有重要的应用。阴帅、麦培智和钟凡教授等发现量子临界点附近虚时弛豫过程呈现丰富的动力学标度行为,并建立了虚时弛豫标度理论;中科院物理所张士欣特聘研究员和阴帅首先在量子计算机实验中验证了该理论。
但是,先前虚时弛豫量子临界动力学的研究主要集中在由单一的玻色型序参量的临界涨落主导的量子临界点。相比之下,狄拉克量子临界性有着本质的不同,它同时由玻色型序参量临界涨落和无能隙的狄拉克费米子临界涨落控制。费米子涨落会如何影响非平衡动力学?可否用一个统一的非平衡标度理论描述?

图1 不同初态在狄拉克量子临界点的弛豫动力学示意图
针对这些问题,该团队以手征海森堡相变这类典型的狄拉克量子临界点为例,探究其虚时弛豫动力学。通过大规模量子蒙特卡洛模拟,他们揭示了从不同初始状态出发的丰富的非平衡临界现象,研究序参量和费米子关联的相应的动力学标度性质。特别地,他们发现一种以非常规的负临界指数 θ=–0.84(4) 为特征的非稳态初始滑移演化(如图2所示),揭示了费米子临界涨落的显著影响。

图2 负的早期滑移指数
由此,该团队将虚时弛豫标度理论成功推广到包含费米子和玻色子的复合涨落的量子临界点。这一新发展不仅为狄拉克系统中的非平衡虚时间临界动力学提供了统一理解,而且为研究强关联系统中的临界特性提供了一种新途径。该团队后续还利用该方案发展了有效规避了费米子量子蒙特卡洛模拟中的核心难题--符号问题的数值方法,并首先确定了SU(3)狄拉克费米子Hubbard模型的相图及临界性 [见Sci. Adv. 12, eadz4856 (2026)]。
该成果以“Nonequilibrium Dynamics of Dirac Quantum Criticality in Imaginary Time” 为题,于2026 年2月24日发表于物理学重要期刊Physical Review Letters《物理评论快报》。中山大学物理学院2020级本科生余荫铠(现中国科学院物理研究所研究生)为论文第一作者;中山大学物理学院、本实验室阴帅教授与中国科学院物理研究所李自翔特聘研究员为共同通讯作者;中山大学物理学院2020级本科生曾植、广州大学舒玉蓉副教授参与了相关研究。研究得到国家自然科学基金、广东省磁电物性基础学科研究中心、广东省磁电物性分析与器件重点实验室、广东省和广州市科技计划项目、中国科学院物理研究所启动经费、北京市自然科学基金、新基石研究员项目、中山大学大学生创新创业训练计划校级项目的支持。(磁电物性分析与器件重点实验室)
3.北大:石墨烯埃米孔化身“气体二极管”,北京大学王路达与宋柏合作团队在限域输运领域实现突破
近日,北京大学集成电路学院王路达和力学与工程科学学院宋柏合作团队在限域输运领域实现突破,以“An ångström-scale Janus aperture as a gas flow rectifier”为题,在《自然·材料》(Nature Materials)期刊发表研究论文。团队结合精密实验观测与高通量理论计算,首次揭示并系统阐释了多种典型气体分子(不同组分、形状、大小)跨石墨烯埃米孔的整流现象,整流比可达两个数量级。
在种类繁多的输运现象中,电荷、能量和物质的定向输运尤为引人注目和深思,并且往往具有独特且重大的价值。一个最具代表性的例子莫过于奠定了现代芯片产业基石的电二极管。纳米乃至埃米尺度极端限域空间内的物质输运,对生命活动以及水-能源-环境系统都至关重要。以生物体为例,细胞膜上存在各种各样的细小通道,它们借助精巧的微观结构,能够实现离子与分子的精准跨膜输运,从而保障生命健康。其中,离子整流通道在维持膜电位和调控细胞兴奋性等过程中扮演关键角色。
受此启发,人们近年来成功设计出多种人工离子二极管,其整流比最高可达4个数量级,在离子分离、传感、能量收集等领域展现出巨大潜力。这些离子整流器件大多基于不对称的几何结构和表面电荷分布,利用库仑力实现高效调控。除了离子,限域空间的气体输运同样意义重大,在天然气纯化、碳捕获、同位素分离等关键技术中具有重要价值。然而,气体分子整体呈电中性,其输运过程由更为复杂的范德华力主导,调控难度巨大。因此,如何实现高效的气体分子整流,是限域输运领域亟待解决的前沿科学问题。

图1 Janus埃米孔气体整流概念示意图
研究团队首先提出了利用不对称(Janus)埃米孔实现气体分子整流的全新设计理念(图1)。相比传统通道,该体系将通道长度缩短至单原子层,而孔径则与气体分子的等效直径相当,从而使气体输运过程受到跨孔能垒的主导。在此基础上,通过构筑沿输运方向不对称的Janus结构,使气体分子从正反两个方向过孔时面临显著不同的能垒。根据Arrhenius定律,输运速率随能垒高度呈指数变化。理论上,室温下0.1eV的能垒差就可以带来约50倍的整流效应。这一设计理念为实现限域空间的高效气体整流提供了基本的理论图像。

图2 Janus埃米孔的制备与表征
研究团队进而设计搭建了原子级负反馈控制的臭氧刻蚀系统(图2),不仅能在石墨烯上精准刻蚀埃米孔,还能同时在孔边缘形成跨平面不对称分布的含氧官能团,从而构建出Janus结构。为了验证这种埃米孔能否实现气体整流输运,团队制备了10个整流器件(石墨烯层数从单层到三层),并分别测试了典型气体正反两个方向的输运行为(分辨率高达每秒钟几个气体分子),其中氧气(图3)和氮气呈现出显著的整流现象。

图3 氧气整流输运的实验观测
为系统探究范德华力对气体分子整流的调控机制,团队进一步针对10种组分、形状和尺寸各异的典型气体开展了高精度整流性能测试(图4),其中7种气体存在整流效应。由于气体输运对孔的原子结构高度敏感,实验结果呈现出难以避免的随机性。通过大量器件的多次实验,团队最终归纳出了清晰的规律:氧气与氮气的整流比总体最高,可达两个数量级;惰性气体的整流比随动力学直径由氖气、氩气至氪气、氙气逐步增大而显著提高。此外,作为对照,团队通过延长刻蚀时间增大孔径,发现对过刻孔,小分子气体的输运速率提升几个数量级,但整流效应随之消失。

图4 气体整流对孔径与气体种类的依赖
最后,研究团队利用高通量密度泛函理论(DFT)计算,系统探究了气体整流的物理机制(图5),发现较小的孔径(一般小于3.50Å)以及孔周边存在高密度含氧官能团是实现Janus不对称结构的关键。在此基础上,分别采用柔性与刚性模型,验证了不对称结构可诱导产生不对称能垒,并证实了非局域范德华相互作用对能垒差异起决定性作用。基于刚性模型实现了67种埃米孔构型、10种气体的高通量计算,理论能垒差与实验整流比呈现出良好的统计一致性。分析表明,气体分子的极化率对实现整流输运尤其重要;对比极化率相近的气体,进一步发现四极矩乃至更高阶矩也很关键,相关物理机制仍有待深入探索。此外,团队开展了从头算分子动力学(AIMD)模拟(图6),观测到与DFT计算结果一致的整流现象。

图5 基于DFT模拟的气体整流机制探究

图6 基于AIMD模拟的气体整流过程
论文通讯作者为王路达和宋柏。共同第一作者为段弘伟、杨婧、梁年杰、陈笑博,其他合作者包括张盛萍、宋瑞洋、庄泽宇、佟峻赫、北京大学物理学院刘开辉教授以及美国德克萨斯大学奥斯汀分校的Narayana R. Aluru教授和Anshul Saxena。
相关工作获得国家自然科学基金(面上项目和创新群体项目等)、教育部青年教师科研创新能力支持项目、新基石科学基金会科学探索奖、微米纳米加工技术全国重点实验室、集成电路高精尖创新中心、北京石墨烯研究院、北京大学电镜中心、北京大学微纳加工实验室校级平台、北京大学高性能计算平台以及北京大学大型仪器开放测试基金的大力支持。(北京大学)
4.北京大学物理学院廖志敏团队与合作者发现约瑟夫森二极管中量子整流效应
近日,北京大学物理学院凝聚态物理与材料物理研究所廖志敏教授课题组与深圳国际量子研究院俞大鹏院士团队合作,首次在约瑟夫森二极管中发现量子化射频整流效应,为量子器件工具箱增添了重要新成员。2026年1月30日,该项研究成果以《笼目超导体约瑟夫森二极管中的量子射频整流》(“Quantized radio-frequency rectification in a kagome superconductor Josephson diode”)为题,在线发表于《自然·纳米科技》(Nature Nanotechnology)杂志上。
约瑟夫森结是研究宏观量子效应与量子相干行为的关键物理平台。2025年诺贝尔物理学奖授予John Clarke、Michel Devoret和John Martinis三位科学家,以表彰他们在约瑟夫森结宏观量子隧穿效应与能级量子化机制方面的开创性贡献,充分体现了该体系在基础物理与量子技术发展中的重要地位。在约瑟夫森效应被提出60余年后,人们发现了约瑟夫森二极管效应:其特征是在正、反向偏置下呈现不同的临界电流(Ic+≠Ic-),从而在一定电流窗口内实现超导电流的单向传输。
目前研究主要聚焦约瑟夫森二极管的直流特性,其交流约瑟夫森效应,尤其在射频驱动下是否存在类似Shapiro台阶的量子化行为,仍有待揭示。实验上,实现零磁场下的约瑟夫森二极管极具挑战性,需要同时满足高质量的超导异质界面、空间反演对称性破缺以及时间反演对称性破缺等条件,这在实际材料体系中难以兼顾。如何突破材料体系与器件结构的限制,揭示射频条件下约瑟夫森二极管的动态响应行为,是重要的前沿课题。
针对上述瓶颈,研究团队创新性地利用笼目超导体CsV3Sb5构筑约瑟夫森二极管,并探究其在射频条件下的量子整流效应。早期研究显示,CsV3Sb5内部存在多种相互交织的电子态(包括电荷密度波、超导态和电子向列相等),伴随着自发的对称性破缺,同时存在超导畴结构,可自发形成高界面穿透度的约瑟夫森结。这些特点有助于深入探究零磁场约瑟夫森二极管中的交流约瑟夫森效应。
研究团队将机械剥离获得的CsV3Sb5纳米片与金电极接触制备器件。实验发现CsV3Sb5内部自发形成了约瑟夫森结,并在零磁场下表现出非互易的超导电流输运,即约瑟夫森二极管效应。在无直流偏置的条件下,仅通过微波辐照即可产生量子化的直流电压Vdc,其数值为hf/2e的整数倍,实现了量子化的射频整流。这种只需给约瑟夫森二极管照射微波,就能在没有外加直流电流的情况下产生量子化的直流电压的现象可由成熟的约瑟夫森理论清晰解释。其本质在于器件对正、反向电流的响应不对称,使相位粒子在交流驱动下沿“倾斜的搓衣板势”产生单向累积滑移,从而将交流信号转化为量子化的直流输出。
该工作不仅揭示了CsV3Sb5的本征约瑟夫森二极管效应,也为其作为低温无线电源和自供电电压标准提供了潜在平台。这种射频调制的本征约瑟夫森二极管有望在非耗散超导电路、低温量子器件的无线充电、高精度测量、以及电压标准等领域发挥重要作用。

(a)基于CsV3Sb5约瑟夫森二极管的无线整流器;(b)零磁场、零直流偏置下的量子化整流效应
北京大学2022级博士生娄晗歆、深圳国际量子研究院副研究员陈静静与助理研究员叶兴国是文章的共同第一作者。廖志敏、王安琦以及谭振兵是文章的共同通讯作者。俞大鹏对该研究工作给予了重要支持。合作者还包括中国科学院半导体研究所魏钟鸣研究员、荷兰屯特大学李川教授以及北京大学电子显微镜实验室马秀梅高级工程师。该工作得到了国家自然科学基金、“量子通信与量子计算机”国家科技重大专项等项目的资助,并获得了北京大学人工微结构和介观物理全国重点实验室及电子显微镜实验室的大力支持。(北京大学)
