1.清华团队在手性反铁磁的电学操控上取得新突破;
2.周陶杰副教授团队在《Nature Communications》发表拓扑激光器研究成果;
3.北航-北大联合团队发表碳基器件后处理新策略;
4.北京理工大学沈国震教授团队在柔性电子领域发表重要综述
1.清华团队在手性反铁磁的电学操控上取得新突破
长期以来
磁存储技术的发展面临两难困境
铁磁材料
在电学存储密度和电学写入速度上均有制约
反铁磁材料在电学读写中存在困难
手性反铁磁材料
被视为突破当前这一瓶颈的
理想材料体系
但距离实际应用仍存在多重挑战
日前
清华大学材料学院宋成、潘峰团队
(以下简称:研究团队)
在自旋电子学材料与器件方向
取得重要进展
实现了
手性反铁磁序的高效全电学完全翻转
该研究打通了手性反铁磁
从基础研究走向器件应用的关键环节
为开发兼具
超高密度、超快读写和低功耗特性的
新一代磁存储奠定了技术基础
近日,相关研究成果
以《手性反铁磁序的零场完全翻转》
(Field-free full switching of chiral antiferromagnetic order)为题
在线发表于《自然》(Nature)

Nature网站论文截图
破解手性反铁磁操控的“效率密码”
长期以来,磁存储技术的发展面临两难困境:铁磁电学读写便捷,却因杂散场制约了存储密度的提升,且吉赫兹动力学频率为电学写入速度设定了上限;反铁磁材料虽无杂散场且具备太赫兹动力学优势,但电学读写困难。
手性反铁磁材料因其非共线自旋,同时拥有太赫兹磁动力学、零杂散场和自旋劈裂能带等特性,被视为突破这一瓶颈的理想体系。然而,如何在零磁场下实现对其磁序的高效电学操控,始终是推动其走向应用的核心挑战。
针对这一挑战,研究团队通过同质结设计整合了手性反铁磁的“非共线自旋指纹”的两个核心维度,利用非常规自旋流诱发手性反铁磁序的非常规磁动力学,实现了全电学完全翻转。该方案在具备可控的零场翻转极性的同时,效率也实现了大幅度跃升。
在此基础上,研究团队从磁八极子视角切入,破解了手性反铁磁电学翻转的“效率密码”:通过对驱动力和能垒的系统性理论分析,指出自旋极化与磁易面的倾斜几何构型能够突破长久以来的“超低的能垒和超高效的驱动力无法共存”的限制,是实现高效全电学翻转的关键。该机制对其他易面非常规磁体也具有推广意义。
实现量级提升,突破源于创新
这一工作展示了两个层面的创新:利用非共线自旋指纹和同质结设计,实现极性可控的全电学完全翻转;从磁八极子的视角出发,破解了手性反铁磁电学操控的效率密码。
通过满足单晶和多晶Mn3Sn所需的不同生长条件,利用分子束外延生长技术构筑了手性反铁磁Mn3Sn同质结(图1a),利用Mn3Sn(0001)产生面外自旋极化(σz),翻转在多晶Mn3Sn层的手性反铁磁序。通过面内大磁场进行预磁化(图1a),操控Mn3Sn(0001)层的磁序取向,进而控制磁自旋霍尔效应,实现零场翻转的开关和极性的反转(图1b)。对比铁磁翻转极易受外磁场的干扰,手性反铁磁的全电学翻转呈现出优越的抗磁场干扰特性(图1c)。

图1:受面内手性反铁磁序所调控的全电学翻转
手性反铁磁是磁八极子的载体,这一磁序概念超越了常规的自旋和磁偶极子概念。亚晶格自旋和磁八极子,为理解手性反铁磁的动力学现象提供了两个截然不同的视角。
研究团队从磁八极子视角出发,对自旋力矩特征(贡献翻转所需的驱动力)和磁各向异性特征(影响翻转所需克服的能垒)做了系统的理论分析,揭示了两方面关键机制:(1)磁易面约束下,手性反铁磁和铁磁对于面外自旋的响应有本质区别(图2a和b),垂直于磁易面的分量会产生交换耦合力矩,贡献的驱动力如图2c所示,是高力矩效率的主要来源;而平行于磁易面的分量产生的驱动力(图2d)用以决定零场翻转的极性。手性反铁磁同质结中,面外自旋极化与Kagomé磁易面成倾斜的几何构型,既实现了全电学翻转,又保留了较高的力矩效率。(2)易面所贡献的能垒极低(图2e和f),利于高效翻转,然而却会使手性反铁磁的翻转不完全。而若为了实现100%翻转而引入二重磁各向异性,却会使能垒成数量级地提升,极大限制翻转效率。在传统的构型中,驱动力优势和能垒优势始终无法共存,而倾斜的几何构型(图2a)和多晶Mn3Sn的易面磁各向异性(图2b),则成功突破了这一限制,造就了极高的电学翻转效率。

图2:极高的电学翻转效率的物理根源
团队采用临界电流密度Jc、功耗Pc,以及反常霍尔矫顽力与临界电流密度的比值μ0Hc/Jc三项指标来综合评估翻转效率,新构型下,三项指标均比此前有了大幅优化,与铁磁相比,μ0Hc/Jc更是实现了两个数量级的提升。
从基础研究走向应用的关键环节已打通
本项工作打通了手性反铁磁从基础研究走向器件应用的关键环节,不仅为开发兼具超高密度、超快读写和低功耗特性的新一代磁存储奠定了技术基础,也为基于手性自旋振荡和自旋力矩二极管效应的太赫兹纳米振荡器与整流器研发提供了重要科学支撑。
研究团队历经5年潜心攻关,克服了Mn和Sn的高挥发性、Mn3Sn晶体质量难保障等难题,通过持续优化分子束外延生长技术,实现了高质量Mn3Sn晶体的稳定生长。
此前,团队已在反铁磁自旋电子学领域深耕多年,曾获教育部自然科学一等奖。数年积累为此次研究实现手性反铁磁序的零场完全翻转奠定了坚实基础。现阶段,团队已在开展反铁磁器件研究工作,加速推进技术从基础走向器件应用。未来有望应用于消费电子、车载电子与传感器、高性能计算与物联网等领域,满足各类环境下的高可靠数据存储需求。
本研究得到国家重点研发计划、国家自然基金委专项项目、北京市自然科学基金、清华大学笃实专项和新基石“科学探索奖”等项目的支持。清华大学材料学院2020级博士生周致远为论文第一作者,材料学院教授宋成为论文通讯作者。
(来源:清华大学)
2.周陶杰副教授团队在《Nature Communications》发表拓扑激光器研究成果
近日,周陶杰副教授团队在拓扑激光器研究领域取得进展,相关成果以“Defect-evolved quadrupole higher-order topological nanolasers”为题发表于国际顶刊《Nature Communications》。华南理工大学为该研究工作唯一完成单位,微电子学院2024级博士研究生郭胜群为论文第一作者,周陶杰副教授为论文独立通讯作者,相关器件的制备与测试依托华南理工大学微纳电子平台完成。

Introduction
光通讯波段半导体激光器是高速光通讯、片上光互连等领域的核心器件。受紧凑型片上集成器件需求的驱动,激光器的小型化已成为该领域长期的研究主题。半导体纳米激光器因其超高集成度、超低功耗和高调制速率等特点,有望为光子芯片提供高密度集成相干光源。近年来,凝聚态物理所构思的拓扑态概念扩展至光子学领域,拓扑光子晶体激光器成为激光器及纳米光子学领域的研究热点,拓扑光子晶体结构赋予了新颖的光场调控机制,推动了新型半导体激光器的发展。

此项工作提出利用几何缺陷调控光子四极子拓扑。研究以四方晶格光子晶体为初始体系,通过在原始气孔对角处引入结构缺陷,实现对光子晶体拓扑性质的调控。在此基础上,通过不同缺陷演化方向的光子晶体域构建四极子拓扑光子晶体纳米腔,由此支持束缚于器件中央的高阶拓扑角局域态。得益于该角局域态的高品质因子、超小模式体积以及对无序等扰动的稳健性,研究团队获得了1550nm波段高性能四极子拓扑光子晶体纳米激光器。利用微区近红外光谱和近场成像等方法开展对器件光谱、线宽、近/远场光学形貌等研究,证实了四极子拓扑光子晶体纳米腔的激射原理。此外,研究团队通过调控缺陷尺寸实现了相应波长可调谐的激光阵列发射。该工作为新奇拓扑态在微纳半导体激光器的应用提供新思路,有望作为未来纳米尺度的拓扑片上光源,并对拓扑光子学、微纳光子器件与其他人工带隙系统的新颖拓扑现象与器件应用研究提供参考。
期刊介绍
《Nature Communications》是Nature系列的综合性子刊,旨在发表自然科学各领域的重要研究成果,该期刊最新影响因子15.7,JCR分区为Q1。
作者介绍

周陶杰,华南理工大学微电子/集成电路学院副教授,南开大学本科,香港中文大学(深圳)博士,英国伦敦大学学院博士后,自2022年11月起任职于华南理工大学微电子/集成电路学院,主持国家自然科学基金青年基金、广东省自然科学基金面上等项目。主要研究光子晶体微纳半导体激光器及硅基集成,研究成果包括低功耗硅基单片集成量子点光子晶体激光器(Nature Communications, 2020)、单模拓扑狄拉克涡旋激光器(Light: Science & Applications, 2023)、超小模式体积莫尔晶格激光器(Laser & Photonics Reviews, 2025;Nano Letters, 2025)、拓扑彩虹光子晶体纳米激光器(Advanced Materials,2025)以及拓扑四极子纳米激光器(Nature Communications, 2026)等。
(来源:华南理工大学微电子学院)
3.北航-北大联合团队发表碳基器件后处理新策略
近日,北京航空航天大学赵巍胜/林晓阳课题组联合北京大学彭练矛/许海涛课题组,在碳纳米管晶体管(CNTFET)领域取得重要进展。研究团队发现了伽马射线辐照诱导的CNTFET器件性能提升现象。相关成果以《Boosting carbon nanotube transistors through γ-ray irradiation》为题,发表于《Nature Communications》期刊。

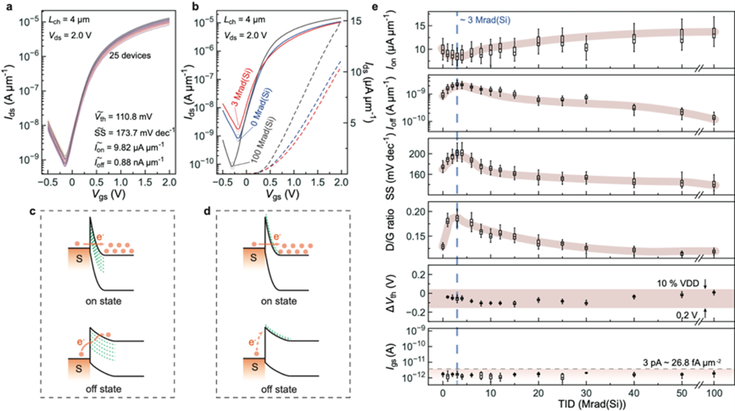
图1 器件结构及CNT材料的辐照性能
随着硅基晶体管逐渐逼近物理极限,CNTFET凭借其卓越的短沟道免疫性和高速低功耗特性,成为后摩尔时代的重要候选技术。尽管CNTFET已在材料提纯、器件制备和系统集成方面取得长足进展,甚至初步具备与现有硅基产线兼容的能力,但基于共轭聚合物提纯的碳纳米管(CNT)材料与介电层之间的界面质量始终是制约性能提升的关键瓶颈。残留的有机分子会导致界面态密度增加,亚阈值摆幅退化,并诱导出带隙态,辅助载流子隧穿,增大关态电流,影响器件的功耗表现。

图2 CNTFET的电学性能随辐照剂量的变化
针对这一难题,研究团队提出了一种全新的解决方案:利用高能伽马射线辐照,选择性分解和重塑碳纳米管表面残留的有机分子,可显著改善界面质量。研究表明,伽马射线辐照几乎不损伤CNT本身,而会促使有机分子中的低键能化学键(如sp3和C–O)向高键能化学键(如sp2和C=O)转化,减少了界面处的浅能级缺陷态,从而有效抑制了关态泄漏电流和亚阈值摆幅的退化。通过这一方法,器件工作电压下的关态电流密度降低至112.2 pA/μm,接近100 pA/μm的低功耗目标,开关比达到约105,处于网络状CNTFET的最佳水平。伽马射线处理不仅在室温下进行,且具备高通量、低成本、兼容大尺寸晶圆等优势,具备良好的工业化前景。
研究团队还设计了一种准环栅结构的CNTFET,该结构通过上下双栅共同调控,提升了栅控效率和器件抗辐照特性。实验显示,即使在高达100 Mrad(Si)的总剂量辐照下,器件的阈值电压变化仍控制在10%以内,展现了远超传统硅基器件(< 1 Mrad(Si))的抗辐射能力。

图3 统计性分析
该研究为CNTFET的后处理提供了一种高效、可扩展的工业化路径,也为其在深空探测、核能应用等强辐射环境中的部署应用奠定了技术基础,标志着碳纳米管晶体管向实际应用迈出关键一步。
Science & Technology
该项工作由北航集成电路科学与工程学院、国际创新学院(杭州北航国际创新研究院)、自旋芯片与技术全国重点实验室,北京大学电子学院与碳基电子学研究中心、北京元芯碳基集成电路研究院、山西北大碳基薄膜电子研究院,北京计算科学研究中心,清华大学物理系、低维量子物理全国重点实验室等单位合作完成。北航师资博士后张科,北京元芯碳基集成电路研究院工程师高宁飞为论文的共同第一作者;北航林晓阳教授、北京元芯碳基集成电路研究院许海涛教授、北京大学彭练矛教授为共同通讯作者。该项工作得到了国家自然科学基金、国家重点研发计划、博士后特别资助等项目的支持。(来源:北航集成电路科学与工程学院)
4.北京理工大学沈国震教授团队在柔性电子领域发表重要综述
近日,北京理工大学集成电路与电子学院柔性电子器件与智造研究所沈国震教授团队在柔性电子器件领域取得进展,相关成果以“Recent advances in wireless smart contact lenses for ophthalmic health management and eye-function enhancement”为题发表于期刊《Advanced Materials》。该工作梳理了无线智能隐形眼镜(WSCLs)在眼科健康管理与视觉功能增强方面的最新进展,为这一新兴可穿戴平台的发展方向提供了全面、深入的技术综述与未来展望。

随着人们对眼健康管理的日益重视以及人机交互需求的不断增长,对能够持续监测眼部物理、化学、生理信号并实现眼球运动编码的眼部可穿戴设备提出了更高要求。此类设备亟需向更舒适、无线化、高度集成的方向发展。无线智能隐形眼镜作为一种非侵入式的无线多功能眼部可穿戴平台,能够充分满足监测眼部信息、治疗眼部疾病乃至增强视觉功能的需求,因此受到学术界与产业界的广泛关注。

该综述系统梳理了WSCLs在设计、制造与应用领域的最新进展。首先,通过分析衬底材料、多功能线圈及电容元件的设计逻辑,重点阐述材料选型、结构优化与性能参数之间的协同作用机理。随后详细解析WSCLs的电路架构,着重揭示各功能模块在电路系统中的具体贡献。接着深入剖析WSCLs制造工艺流程,特别关注针对不同材料类型的专用加工技术。最后全面总结WSCLs在健康监测、疾病治疗及人机交互等领域的应用前景,并前瞻性地展望未来技术发展路径。

神经科学与生物医学工程领域的最新进展,极大地拓展了WSCLs的功能潜力。通过建立实时神经反馈系统,WSCLs能够将角膜电活动或微量生物标志物转化为可操作的输出,为疾病早期诊断提供了新途径。同时,WSCLs凭借其与角膜的独特接触界面,为克服传统脑-机接口的局限提供了新的可能。尽管当前WSCLs平台已取得重要突破,但其未来发展仍需在神经兼容性材料、多模态信号融合算法以及长期生物安全性等方面持续创新,以最终推动集成了神经交互能力的下一代生物电子设备的演进。
该综述的第一完成单位为北京理工大学,沈国震教授与李腊副教授为通讯作者,集成电路与电子学院硕士研究生刘海庆为论文第一作者。
论文链接:https://advanced.onlinelibrary.wiley.com/doi/abs/10.1002/adma.202516945
(来源:北京理工大学)
