1.清华大学:交叉信息研究院邓东灵课题组合作首次实验实现高编码率量子纠错码;
2.南京大学与江苏景枫投资控股集团有限公司共建“概念验证校企联合实验室”;
3.中国科大澄清铁锈中巨大磁光信号的来源;
1.清华大学:交叉信息研究院邓东灵课题组合作首次实验实现高编码率量子纠错码;
近日,清华大学交叉信息研究院邓东灵副教授课题组与浙江大学物理学院王浩华、宋超研究组等合作,首次在具有长程耦合器的超导量子处理器上实现了高编码率双变量自行车码(Bivariate bicycle codes)的量子纠错实验演示。

图1.“昆仑”量子处理器架构图以及双变量自行车码的非局域稳定子提取线路
通过量子纠错技术降低逻辑量子比特的错误率,是实现大规模容错通用量子计算的一条关键路径。长期以来,表面码凭借其硬件友好的近邻耦合需求,占据着容错量子计算的主流地位。然而,表面码的低编码率导致其在扩展性上面临着高昂的硬件资源开销。在此背景下,发展高编码率的量子低密度奇偶校验码被视为降低资源开销的重要路线。特别是2023年提出的双变量自行车码,理论表明其仅需表面码约十分之一的物理比特开销即可达到同等纠错性能,为低成本量子纠错指明了新方向。
尽管双变量自行车码理论优越,但其硬件实现却面临着极大的挑战。要在二维平面的量子芯片上构建非局域的长程连接,且要并行地在这些复杂的长程耦合上实现高保真度量子门,其工程实现的难度明显高于仅需近邻连接的表面码。
面对这一挑战,邓东灵课题组与王浩华研究组合作,协同设计并制造了名为“昆仑(Kunlun)”的32比特超导量子芯片。该芯片在二维近邻连接的基础上引入了额外的长程耦合结构,以支持双变量自行车码所需的非局域稳定子测量。为攻克长程耦合带来的布线交叉与寄生耦合等工程难题,研究团队在芯片制造工艺上进行了针对性优化,在每个长程耦合器上引入多达15个空气桥跨越结构。这一关键工艺不仅解决了复杂的拓扑布线问题,而且有效抑制了串扰。实验标定结果显示,“昆仑”量子处理器的单比特门与两比特门的平均并行保真度分别达到99.95%和99.22%。

图2.双变量自行车码的部分实验结果图
基于“昆仑”量子处理器,团队自主设计并在实验上演示了两种双变量自行车码:[[18,4,4]] 码和 [[18,6,3]] 码。前者利用18个数据比特编码4个距离为4的逻辑比特,后者编码了6个距离为3的逻辑比特。通过执行高效的非局域稳定子提取线路,团队成功演示了多轮量子纠错。实验结果表明,[[18,4,4]] 码和 [[18,6,3]] 码的平均逻辑错误率(按每轮、每逻辑比特统计)分别为8.91%和7.77%。此外,数值模拟预测,在所采用的噪声模型与解码设定下,若能将当前芯片的物理操作错误率降低至现有水平的一半,则可跨越双变量自行车码的纠错阈值,为未来突破盈亏平衡点奠定了基础。该工作在审稿阶段获得了同行专家的高度评价, 称其为“迈向容错且低开销量子计算重要而充满原创性的一步”。
研究成果以“低开销量子纠错码的演示”(Demonstration of low-overhead quantum error correction codes)为题,于1月22日发表于《自然物理》(Nature Physics)。
清华大学交叉信息研究院副教授邓东灵,浙江大学物理学院研究员宋超、王震为论文通讯作者。上海期智研究院高级研究员鲁智德,浙江大学博士生王可、张川宇为论文共同第一作者。其他作者包括浙江大学超导量子计算团队部分其他成员,清华大学交叉信息研究院博士后孙正之、李炜康,清华大学交叉信息研究院博士生叶奇、蒋颸、马一瑄,以及波兰科学院玛丽·居里ERA Fellow沈培鑫博士。
研究得到国家自然科学基金、清华大学、合肥国家实验室,以及上海期智研究院等的支持。
2.南京大学与江苏景枫投资控股集团有限公司共建“概念验证校企联合实验室”;
2026年1月25日下午,南京大学与江苏景枫投资控股集团有限公司共建“概念验证校企联合实验室”签约揭牌仪式在景枫中心举行。南京大学党委常委、副校长、中国科学院院士郑海荣,江宁经济技术开发区管委会主任王爱军,江苏景枫投资控股集团有限公司董事长张景春等出席活动。
郑海荣感谢景枫集团和江宁开发区一直以来对南大的支持。他表示,南京大学近年来持续探索以基础研究为根,向创造技术、成果转化延伸拓展的“三位一体原创驱动式”科学研究新模式,通过“深挖潜力、外扩合作、资本赋能”等举措,多措并举大力推进学校技术转移转化工作。希望以本次合作签约为契机,与景枫集团聚焦脑机接口、集成电路、人工智能等赛道,共筑概念验证平台,践行“金融资本投早、投小、投长期、投硬科技”的国家号召,以高质量科技金融服务助力实现高水平科技自立自强。
张景春表示,景枫和南大积极探索校企合作新模式,促进科技创新与产业创新融合。概念验证联合实验室的成立是经过深思熟虑的战略布局,是从技术源头就开始共担风险、协同创新的探索,是双方基于打通科技成果转化“最初一公里”的共同愿景,是积极响应国家创新发展号召、服务地方经济发展的切实行动。
会上,同步进行了“南京大学—景枫集团概念验证校企联合实验室”揭牌和合作协议签约。参会代表就加强产学研合作、引进高校科技成果转化落地等具体问题进行了深入探讨。

签约仪式

合影
江宁经济技术开发区、南京大学和景枫集团相关部门负责人参加活动。
3.中国科大澄清铁锈中巨大磁光信号的来源;
中国科大侯达之教授研究团队在铁锈成分之一的赤铁矿(α-Fe₂O₃)中,获得了“交错磁性主导其磁光克尔信号”的直接实验证据:赤铁矿中显著的克尔信号主要来自Néel矢量贡献,而净磁化与外加磁场的贡献在可见光范围内可忽略。相关成果于1月23日以“Experimental Evidence of N´eel-Order-Driven Magneto-optical Kerr Effect in an Altermagnetic Insulator”为题发表在《物理评论快报》上。
赤铁矿凭借其高Néel温度、低阻尼和强磁光响应,常被用作研究反铁磁绝缘体中自旋电子学现象的模型体系。然而,其尽管有着微弱的净磁矩,却表现出“堪比铁磁体”的磁光克尔信号,该现象的物理机制尚未明确。
近年来提出的交错磁体为理解这类现象提供了新的思路:交错磁体虽然没有宏观铁磁性,但由于能带的自旋分裂会呈现一些类似铁磁体的输运与光学效应。赤铁矿被理论预言为g-波交错磁体,并已得到实验支持,但其克尔强信号是否真的由Néel序直接产生,仍因常规的扫场测量无法分离Néel矢量、净磁化和外加磁场的贡献而缺乏决定性证据。

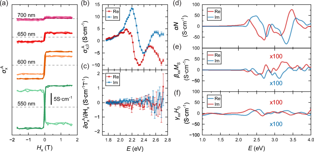
图 1 (a)外磁场扫描下横向光学电导率σiA的结果示意图。(b) 六方晶系中赤铁矿的晶体结构及坐标方向定义((x∥1120, y∥1100 , z∥0001)。(c)-(e)Néel矢量N分别沿x,y,z方向时的磁对称性与对应的σA。Fe原子的相对位置在(b)中标出。
针对该问题,研究团队先通过对称性分析明确不同Néel矢量取向下磁光响应的允许形式,再对两种晶格取向的单晶样品开展磁性表征与磁光克尔测量。对(1120)样品的测试发现,其零场附近存在显著磁光信号,团队进一步在不同波长下定量分析横向光电导率的斜率与截距,结合第一性原理计算评估Néel序、净磁化、外磁场三类机制的贡献,证实净磁化和外磁场的贡献系数极小,明确其克尔信号主要由Néel序主导;而(0001)取向样品中,在垂直膜面扫场过程时Néel 序无不发生转动,实验也几乎未观测到磁光信号,由此独立验证净磁化与外磁场项的贡献可忽略。

图 2 (a) 赤铁矿1120样品在不同波长下σxA随Hx的变化;浅色曲线为实部,深色曲线为虚部。(b),(c)σxA谱的截距与斜率。(d),(e),(f) 计算得到的Néel序诱导电导率αN,磁化诱导电导率βxxMS和外磁场诱导电导率γxxH0,其中MS=2.13×103 A/m,H0=1 T。
该成果为理解反铁磁绝缘体中显著的磁光信号提供了关键实验证据,也凸显交错磁体作为新型磁光材料的潜力,为面向自旋光电子与集成磁光器件的材料选择与机理设计提供了新思路。
中国科大博士研究生潘昊霖为本文的第一作者,侯达之教授为本文的通讯作者。本工作的理论计算部分由中国科大的牛谦老师、高阳老师,安徽大学的肖瑞春老师完成,部分样品由南科大李军学课题组提供。本研究得到了科技部国家重点研发计划、国家自然科学基金委和中国科学技术大学的支持。
